Предмет: Алгебра,
автор: krevetka2512
Помогите с заданием по алгебре.
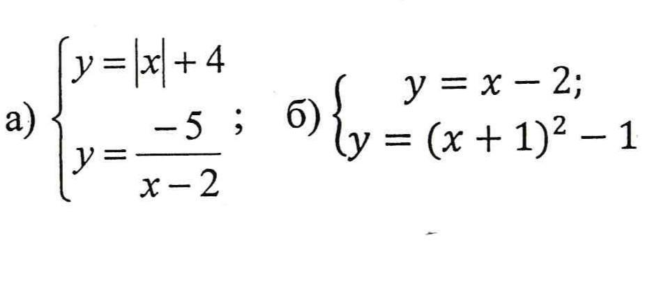
Задание: решите графически систему уравнений
Приложения:
Ответы
Автор ответа:
1
Cм. рисунки
a) (1;5)
б) нет решений
Приложения:
Похожие вопросы
Предмет: Другие предметы,
автор: киса11
Предмет: Английский язык,
автор: lidzhena
Предмет: Русский язык,
автор: EVA09
Предмет: Математика,
автор: 2008ANGELINA
Предмет: Математика,
автор: Вика059059059