Предмет: Информатика,
автор: Никольнейв
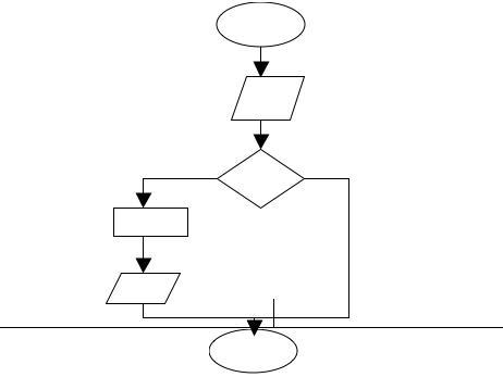
Дана блок – схема. Какая из предложенных задач может быть реализована с помощью данной блок – схемы?
А. Даны два действительных числа. Найти их разность, сумму и произведение.
В. Вычислить значение ункции у = 3х3+3х2+15 для значений х, изменяющихся от –1 до 2 с шагом 0,2.
Б. Даны действительные числа. Возвести в квадрат те из них, значения которых неотрицательны. Г. Определить, является ли данное целое число четным.
Приложения:
Ответы
Автор ответа:
1
Ответ:
Б. Даны действительные числа. Возвести в квадрат те из них, значения которых неотрицательны.
Объяснение:
Похожие вопросы
Предмет: Английский язык,
автор: lexa55
Предмет: Українська мова,
автор: yuliannna
Предмет: Русский язык,
автор: natalykorobov
Предмет: История,
автор: ender17