Предмет: Алгебра, автор: jccj7glkvk

АЛГЕБРА помогите решить номер 464​

Приложения:

Ответы

Автор ответа: Пеппер
1

Ответ:

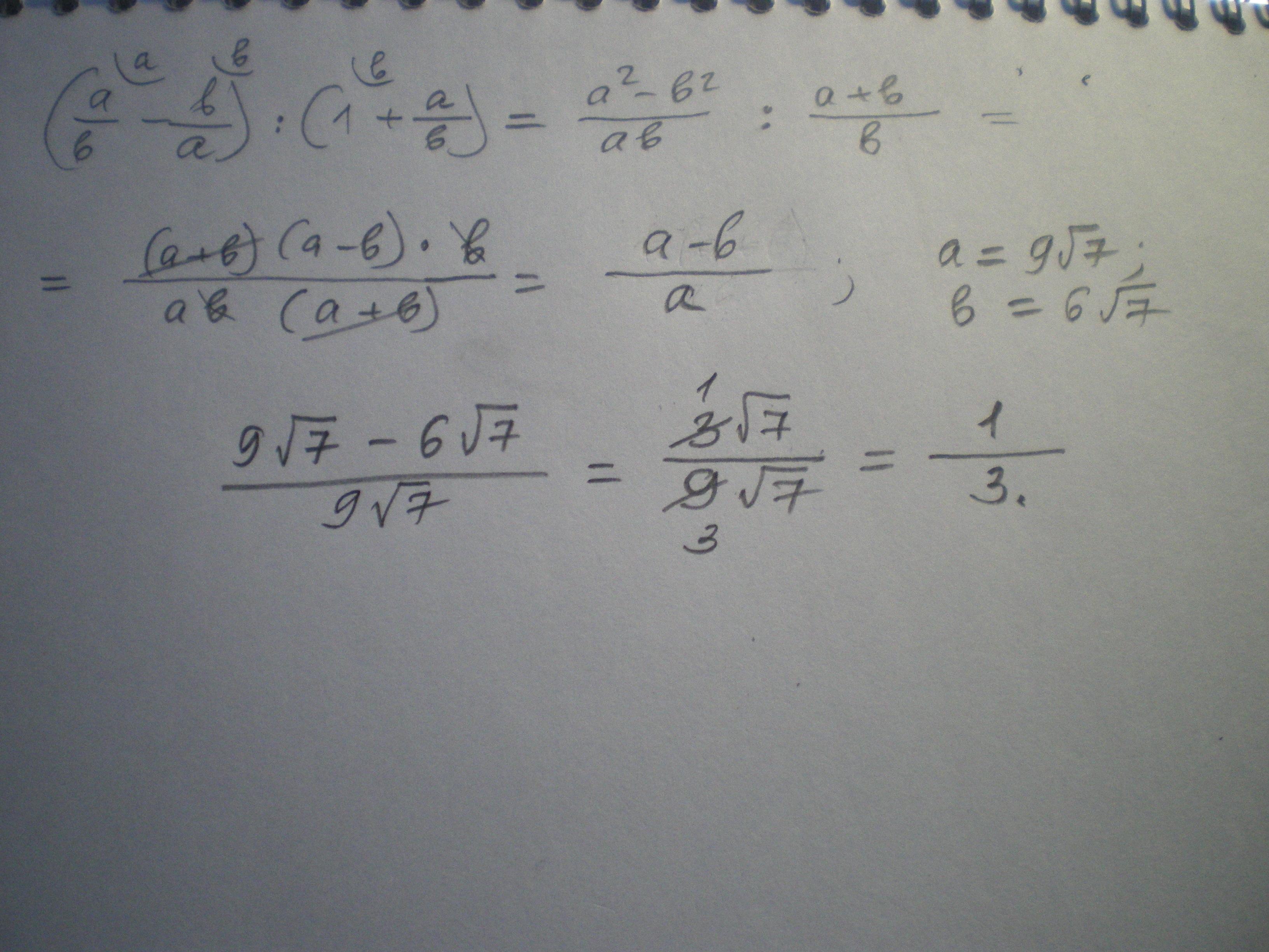
1/3

Объяснение:

Приложения:

jccj7glkvk: совершенно верно, благодарю вас за ответ)
Пеппер: пожалуйста!
Автор ответа: NNNLLL54
1

a=9\sqrt7\; ,\; \; b=6\sqrt7\\\\\Big (\frac{a}{b}-\frac{b}{a}\Big ):\Big (1+\frac{a}{b}\Big )=\frac{a^2-b^2}{ab}:\frac{b+a}{b}=\frac{(a-b)(a+b)}{ab}\cdot \frac{b}{a+b}=\frac{a-b}{a}=\\\\=\frac{9\sqrt7-6\sqrt7}{9\sqrt7}=\frac{3\sqrt7}{9\sqrt7}=\frac{1}{3}

Похожие вопросы