Предмет: Алгебра,
автор: chelovekrubik
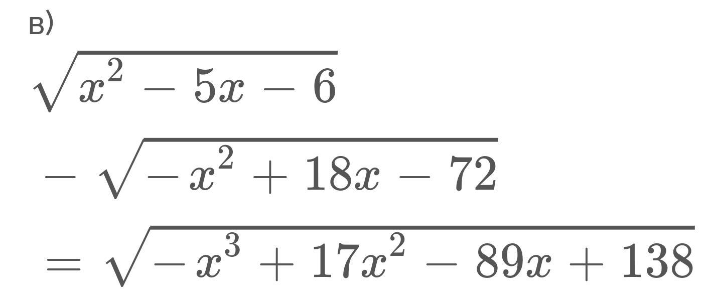
Решите пожалуйста уравнение!!!
Приложения:
Ответы
Автор ответа:
1
Ответ:
Объяснение:
!!!!!!!!!!!!!!!!!!!!!!!!!!
Приложения:
Похожие вопросы
Предмет: Русский язык,
автор: CJKYSIRJ1124
Предмет: Русский язык,
автор: Пальма08
Предмет: Русский язык,
автор: Kristinohka1
Предмет: История,
автор: Людочкаlove
Предмет: Математика,
автор: Аноним