Предмет: Математика,
автор: valeriatopalova0721
Пункт а. Умоляю.помогите!
Приложения:
valeriatopalova0721:
-три целые пять восьмых и т.д
Ответы
Автор ответа:
0
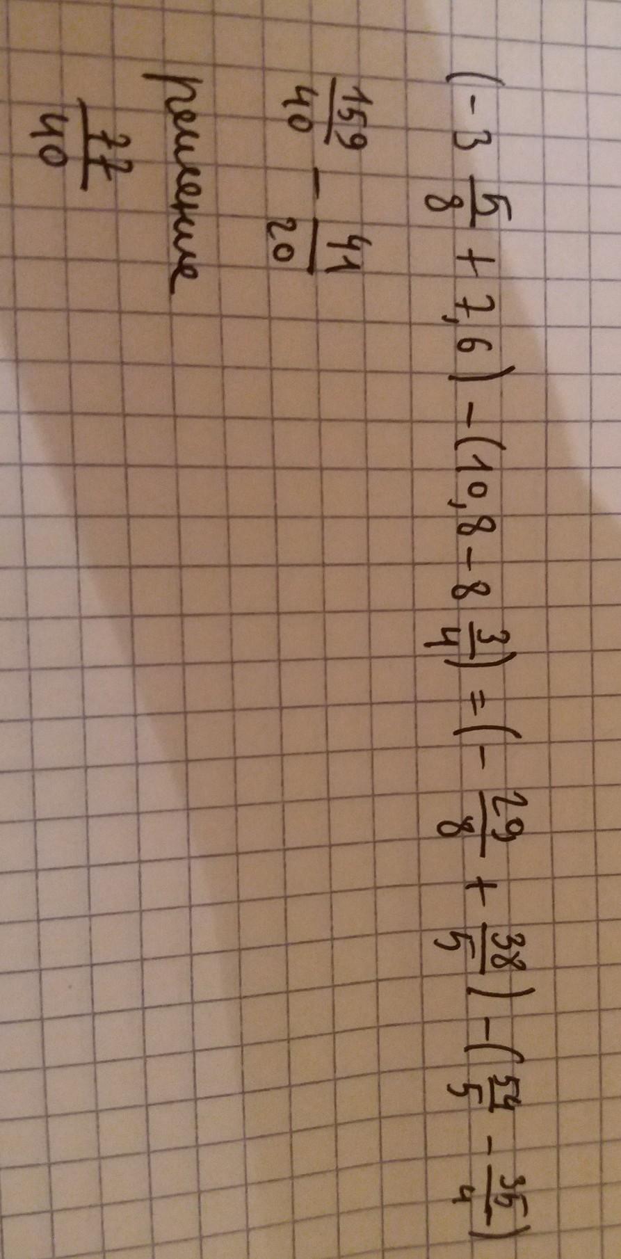
Вот ответы)
Если неправильно айм сорри
Приложения:
Похожие вопросы
Предмет: Русский язык,
автор: 200311
Предмет: Русский язык,
автор: kittty
Предмет: Русский язык,
автор: k600tima
Предмет: Обществознание,
автор: Мурик071
Предмет: Алгебра,
автор: xANEx