Предмет: Математика,
автор: btsarmy9
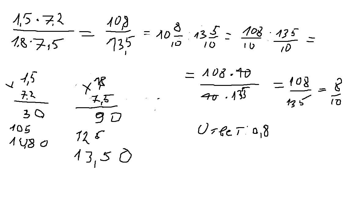
1,5*7,2/1,8*7*5 1,3*6,4/0,8*6,5
С пояснинием пожалуйста!)
MeRtVii:
скобки поставь или раздели примеры
1,5•7,2/1,8•7,5
1,3•6,4/0,8*6,5
готово друг
Ответы
Автор ответа:
2
Ответ:
Пошаговое объяснение:
Приложения:
Похожие вопросы
Предмет: Английский язык,
автор: Иррина
Предмет: Русский язык,
автор: ХхвитяхХ
Предмет: Українська мова,
автор: zaz13
Предмет: Математика,
автор: Drakylaaaa
Предмет: Алгебра,
автор: superkatzkok