Предмет: Математика,
автор: sasha2008saha2008
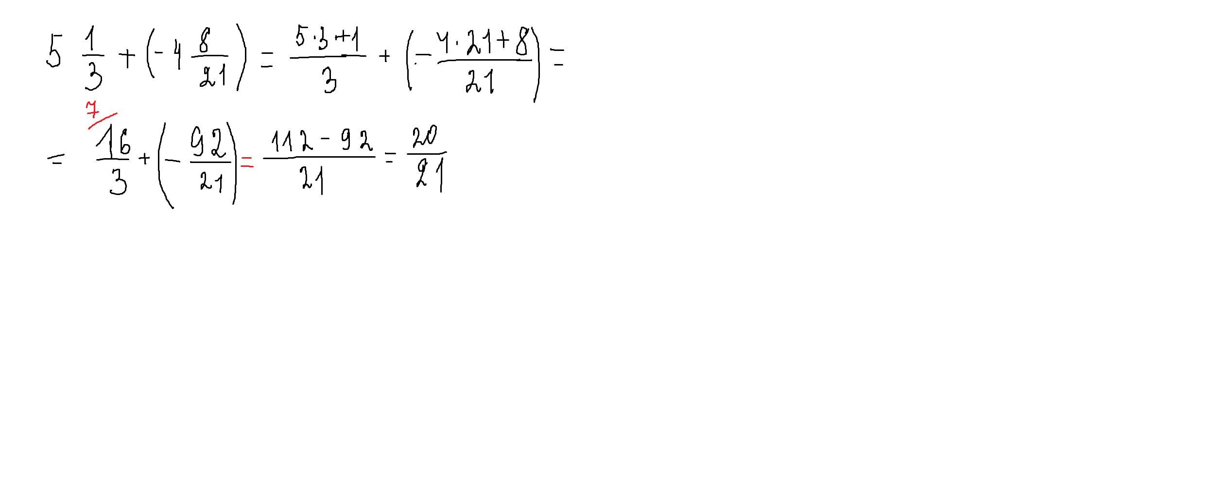
Вычислите:5 1/3+(-4 8/21)
Ответы
Автор ответа:
1
Ответ:
Пошаговое объяснение:
5.1/3+(-4.8/21)=4.4/3-4.8/21=(4-4)+(4/3-8/21)=20/21
Автор ответа:
0
Ответ:
Пошаговое объяснение:
решение внизу
Приложения:
Похожие вопросы
Предмет: Русский язык,
автор: Аноним
Предмет: Русский язык,
автор: pinkamina
Предмет: Русский язык,
автор: ledy0608
Предмет: Математика,
автор: kirillpro29
Предмет: История,
автор: Danik1528