Предмет: Алгебра,
автор: flirtihurt
1)С²+6с-40
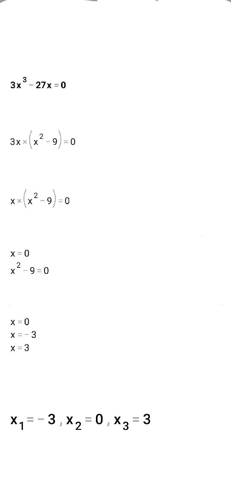
)3х³-27х=0
Ответы
Автор ответа:
1
Ответ:
Решение во вложении.
Первое как решать не знаю.
Объяснение:
Приложения:
flirtihurt:
спасиб
Похожие вопросы
Предмет: Українська мова,
автор: Аноним
Предмет: Русский язык,
автор: anq
Предмет: Українська мова,
автор: ВикаЛера
Предмет: Математика,
автор: sandra50
Предмет: География,
автор: vladislava1989