Предмет: Математика,
автор: anastasia261198
Помогите решить!!! Даю 10 баллов)
Приложения:
Ответы
Автор ответа:
0
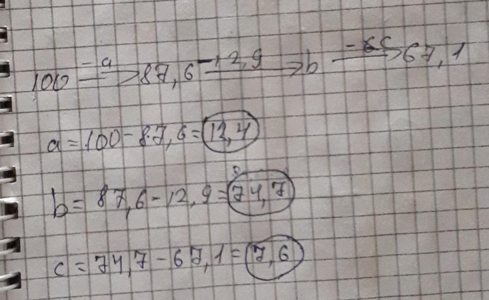
Пошаговое объяснение:
.....................
Приложения:
Похожие вопросы
Предмет: Українська мова,
автор: itdf
Предмет: Русский язык,
автор: Радуська
Предмет: Русский язык,
автор: Хиппи
Предмет: Музыка,
автор: OctMelody