Предмет: Алгебра, автор: reydenstigp5l74r

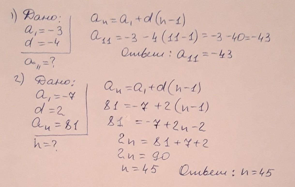
1)Последовательность (a_{n})арифметическая прогрессия найдите а11 если а1 = -3 d = -4
2)Найдите порядковый номер члена a_{n} арифметической прогрессии если
a1=-7 d=2 a_{n}=81

Ответы

Автор ответа: sharofat0
1

Ответ:

Формула n- го члена арифметической прогрессии.

Приложения:
Автор ответа: sunnatxoja77
0

1)

a_n=a_1+(n-1)d\\a_{11}=a_1+(11-1)d=a_1+10d\\a_{11}=-3+10*(-4)=-3-40=-43

2)

a_n=a_1+(n-1)d\\n=?\\\\a_n-a_1=n*d-d\\n*d=a_n-a_1+d\\\\n=\frac{a_n-a_1+d}{d} \\\\n= \frac{81+7+2}{2}= 45

Похожие вопросы
Предмет: Русский язык, автор: Alya31
Предмет: Литература, автор: Ольга3333