Предмет: Математика,
автор: murtazalievasabila75
Помогите пожалуйста!Решите неравенство!Даю много баллов
Приложения:
Ответы
Автор ответа:
0
Ответ:
1)2;
2)0;
3)11.5
4)6
Пошаговое объяснение:
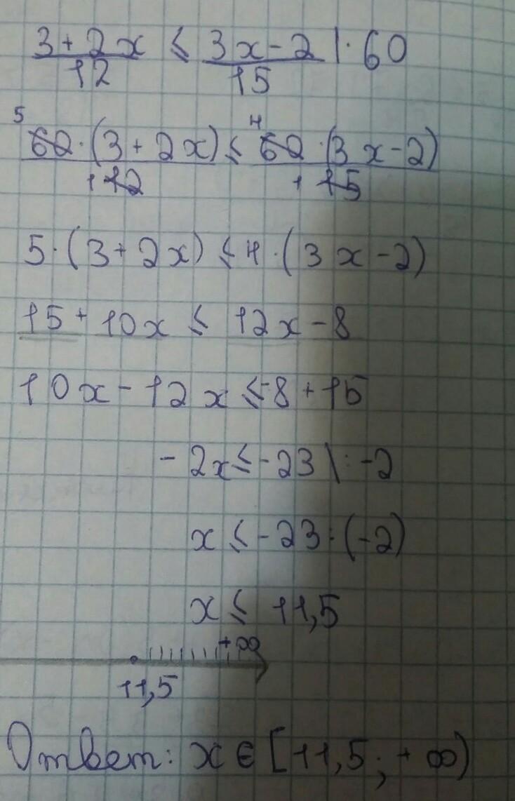
3)(3+2x)/12 ≤ (3x-2)/15 | * 60
5(3 + 2х) ≤ 4(3х -2)
15 +10х ≤ 12х -8
-2х ≤ -23
х ≥ 11,5
В остальных все понятно, просто подставь числа.
Автор ответа:
0
Остальные сделать не могу, т.к времени не хватит.
Приложения:
Похожие вопросы
Предмет: Русский язык,
автор: SlonIAra
Предмет: Русский язык,
автор: Анилай
Предмет: Українська мова,
автор: Perec2011
Предмет: География,
автор: влада307
Предмет: Математика,
автор: Timofey61