Предмет: Алгебра,
автор: chelovekrubik
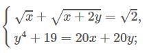
Решите систему уравнений!!!
Приложения:
Ответы
Автор ответа:
1
Ответ:
Объяснение:
!!!!!!!!!!!!!!!!!!!!!
Приложения:
Похожие вопросы
Предмет: Английский язык,
автор: Fatma
Предмет: Русский язык,
автор: marinka59
Предмет: Русский язык,
автор: Christy
Предмет: Геометрия,
автор: Danila971
Предмет: Литература,
автор: никистка