Предмет: Алгебра,
автор: HnomekUa
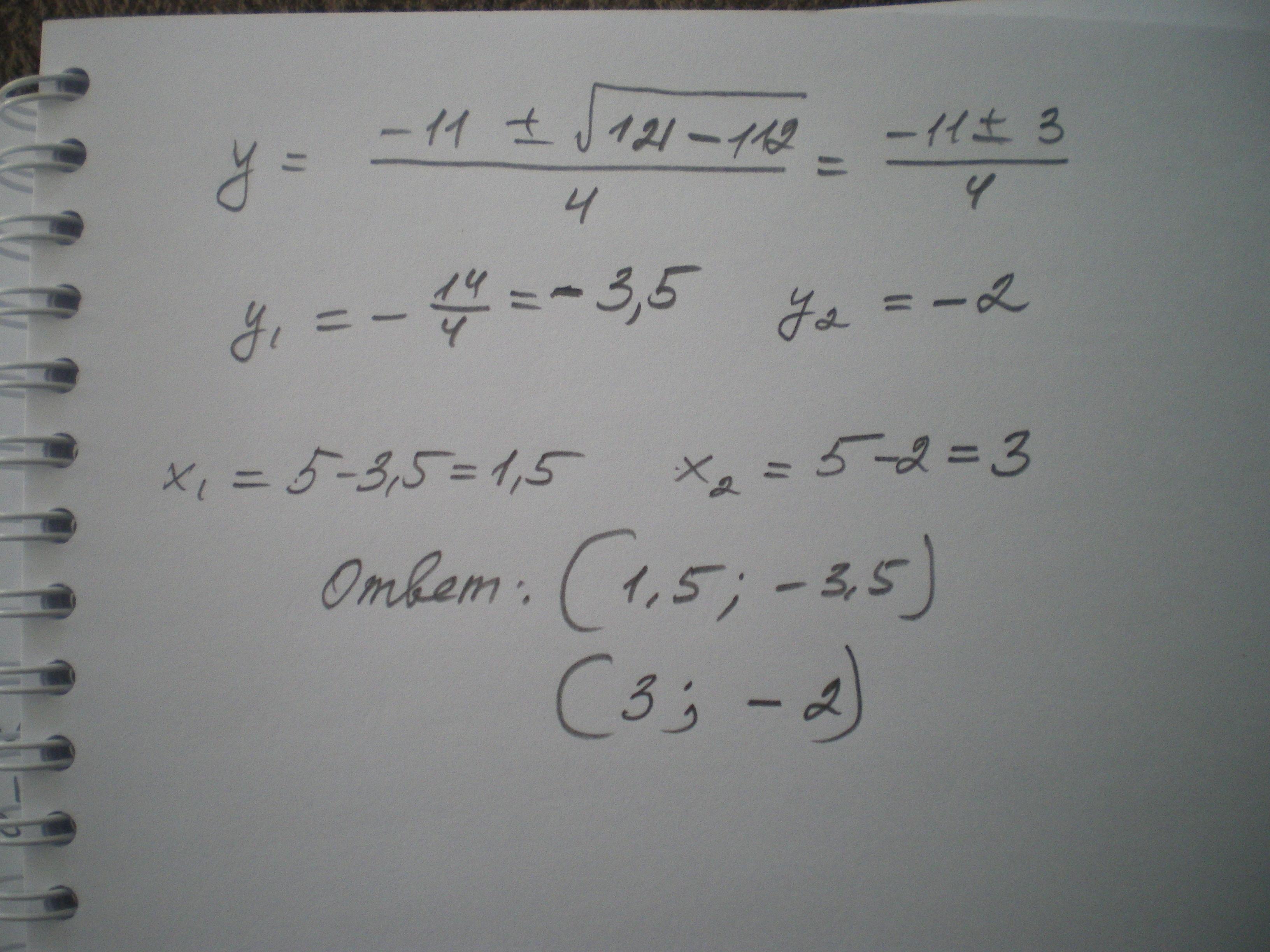
Розв'яжіть систему рівнянь
Приложения:
Ответы
Автор ответа:
0
Ответ:
(1,5; -3,5); (3; -2)
Объяснение:
Приложения:
Похожие вопросы
Предмет: Русский язык,
автор: ишак
Предмет: Русский язык,
автор: Анюткина
Предмет: Английский язык,
автор: olgabannikova
Предмет: Математика,
автор: средний8
Предмет: Алгебра,
автор: Zzzzzzzzzzzzz2003