Предмет: Математика,
автор: yaroslav2001ya29
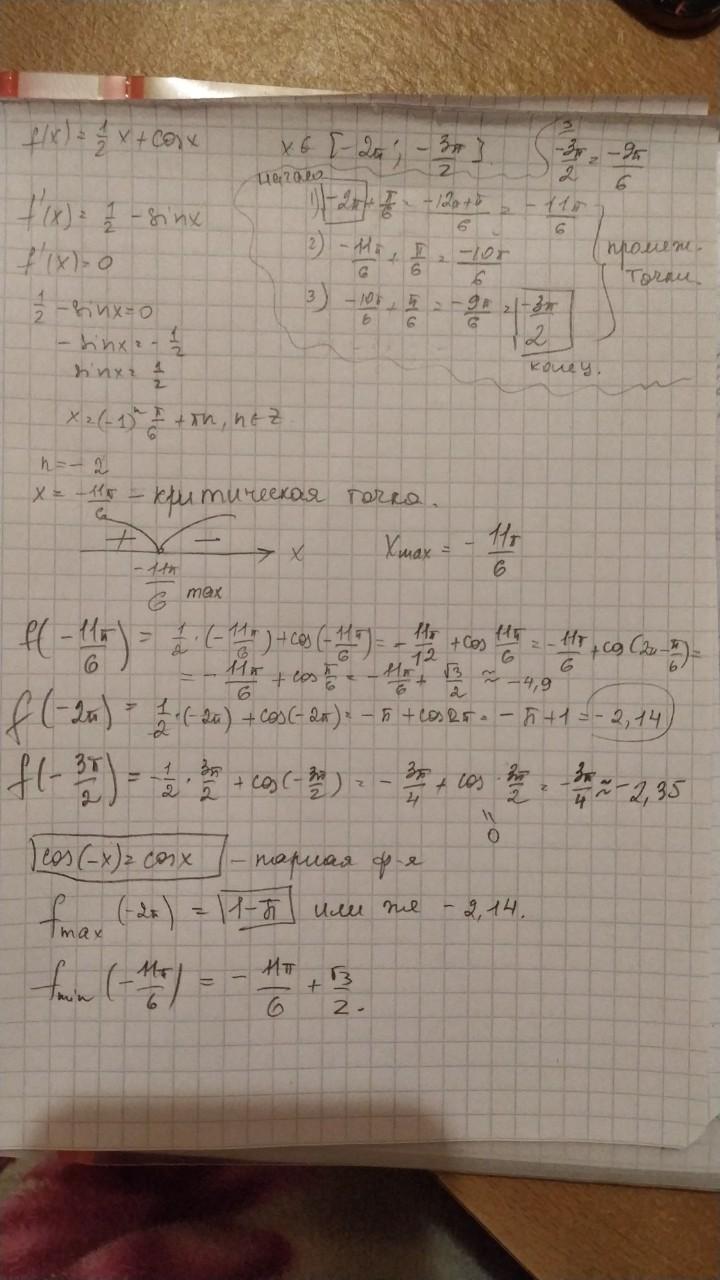
Знайти найбільше та найменше значення функції на проміжку:
fx=(1/2)х+cos х , х∈[-2π;-3π/2]
Ответы
Автор ответа:
0
Відповідь:
Покрокове пояснення:
Приложения:
Похожие вопросы
Предмет: Русский язык,
автор: redcenturion
Предмет: Русский язык,
автор: Мишлен
Предмет: Русский язык,
автор: Оксения
Предмет: Химия,
автор: rusya047
Предмет: Геометрия,
автор: bob444