Предмет: Математика,
автор: ViktoriyaShulmina
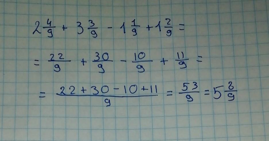
Помогите пожалуйста решить пример!!!!!
Приложения:
Ответы
Автор ответа:
0
Пошаговое объяснение:
______________________________
Приложения:
Похожие вопросы
Предмет: Русский язык,
автор: lilir
Предмет: Русский язык,
автор: niura6
Предмет: Русский язык,
автор: arm1996
Предмет: Информатика,
автор: Solpio
Предмет: Химия,
автор: Mrsalishajac