Предмет: Математика,
автор: olegkorablyov08
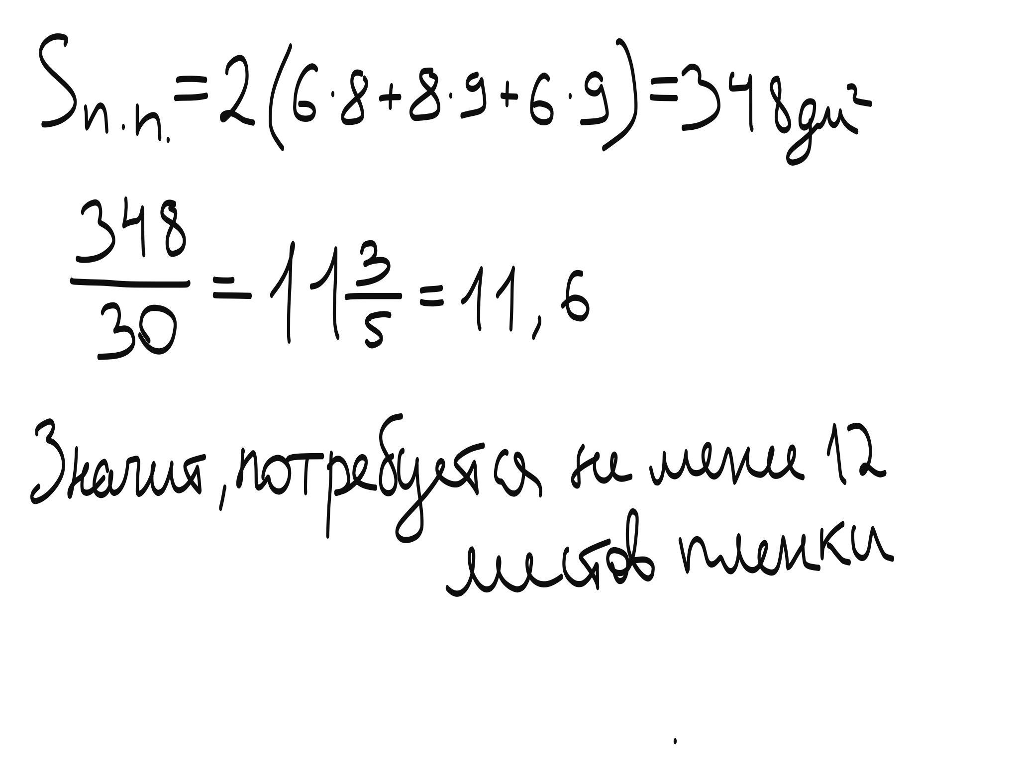
Пластиковый контейнер в форме прямоугольного параллелепипеда, высота которого 6 дм, ширина 8 дм, а длина 9 дм, решили обклеить самоклеящейся плёнкой. Сколько листов плёнки потребуется, если площадь одного листа плёнки равна 30 дм2?
Ответы
Автор ответа:
2
Ответ: 12
Пошаговое объяснение:
Приложения:
Похожие вопросы
Предмет: Українська мова,
автор: romamarycjk1
Предмет: Українська мова,
автор: TaRa
Предмет: Українська мова,
автор: Nastya1Fedorchuk
Предмет: Информатика,
автор: янаф1
Предмет: Биология,
автор: kovalenckopolya