Предмет: Математика,
автор: Аноним
Помоги братан в столбик
Приложения:
2yasya:
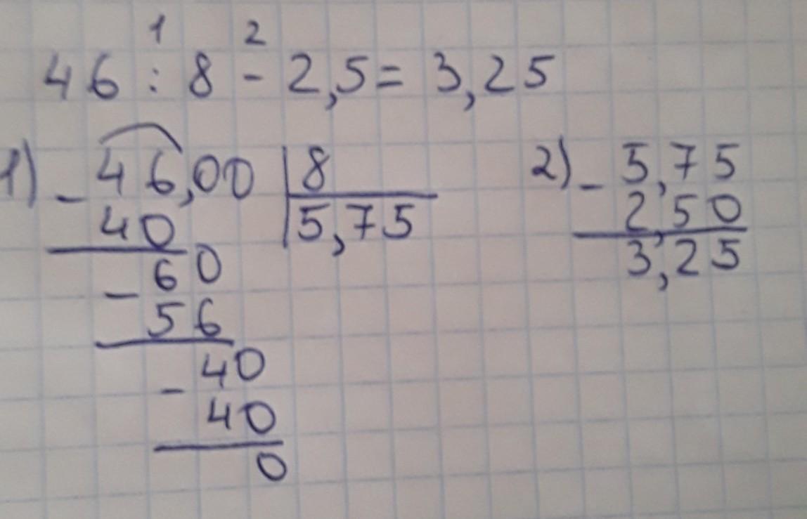
Я все сделала)
Ответы
Автор ответа:
1
Номера это действия)
Все по столбикам)
Приложения:
правильно
Похожие вопросы
Предмет: Русский язык,
автор: 0954353303
Предмет: Русский язык,
автор: rap95
Предмет: Українська мова,
автор: анюта1212
Предмет: Алгебра,
автор: danil007danil007
Предмет: Математика,
автор: jaleguseynova52