Предмет: Химия,
автор: jasonss7
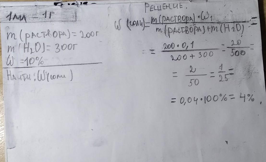
к 200г 10%раствора соли прилили 300 мл воды. Каково процентное содержание соли во вновь полученном растворе?
Ответы
Автор ответа:
36
Переведем миллитры в граммы.
Приложения:
Похожие вопросы
Предмет: Русский язык,
автор: lerat
Предмет: Русский язык,
автор: katya68
Предмет: Русский язык,
автор: maryrydneva
Предмет: Математика,
автор: vasilinatyan
Предмет: История,
автор: oksankaduachis