Предмет: Алгебра,
автор: andreasem13adv
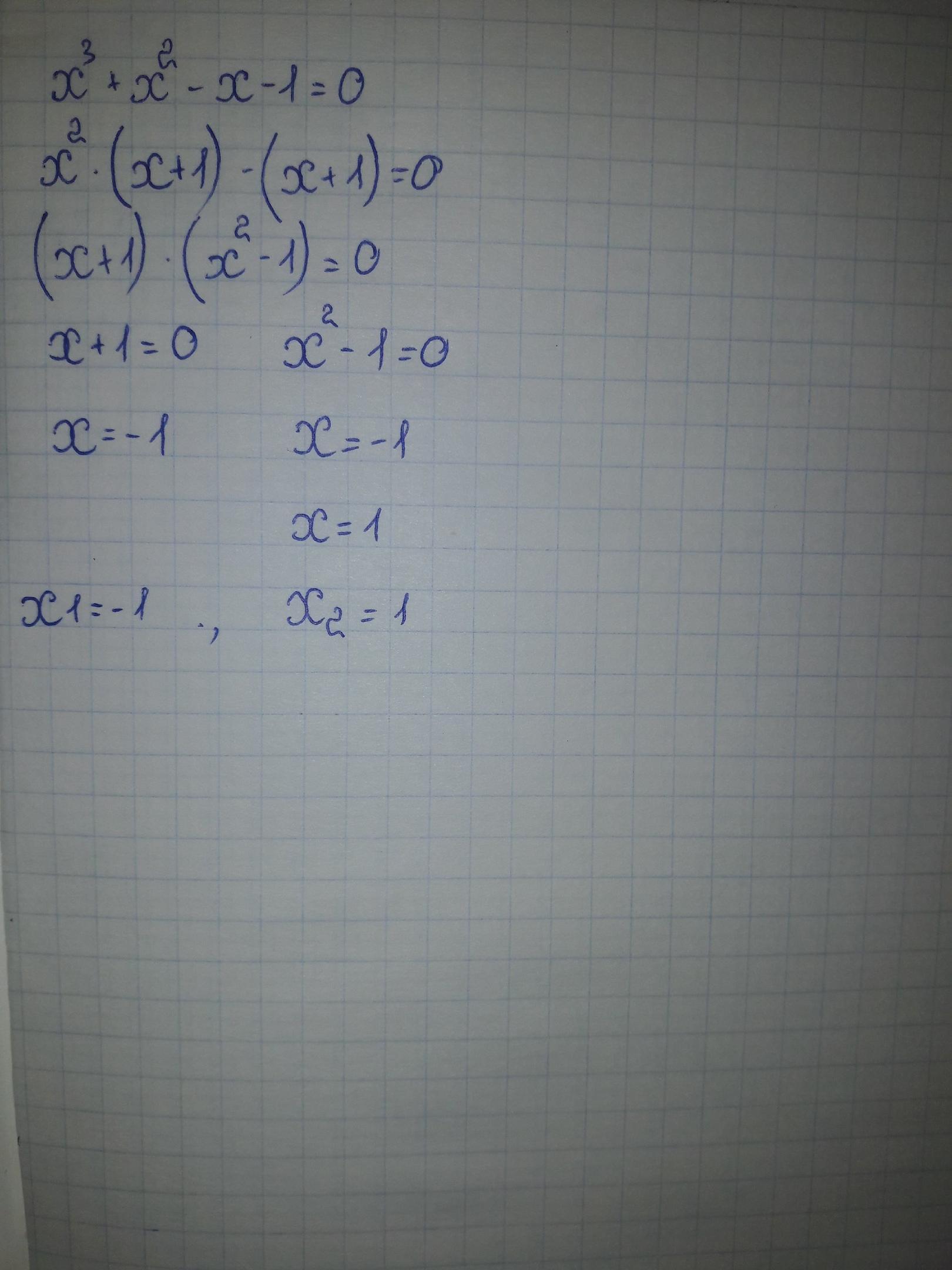
x3 + x2 - x - 1 = 0 ( після х степінь)
Ответы
Автор ответа:
1
Ответ:завжди будь ласка
Объяснение:
Приложения:
Автор ответа:
0
Похожие вопросы
Предмет: Українська мова,
автор: КтоСломал
Предмет: Українська мова,
автор: Felix
Предмет: Английский язык,
автор: deidara
Предмет: Математика,
автор: яна1338
Предмет: Биология,
автор: МанеLike