Предмет: Алгебра,
автор: Herobrin532
ПОМОГИТЕ!!
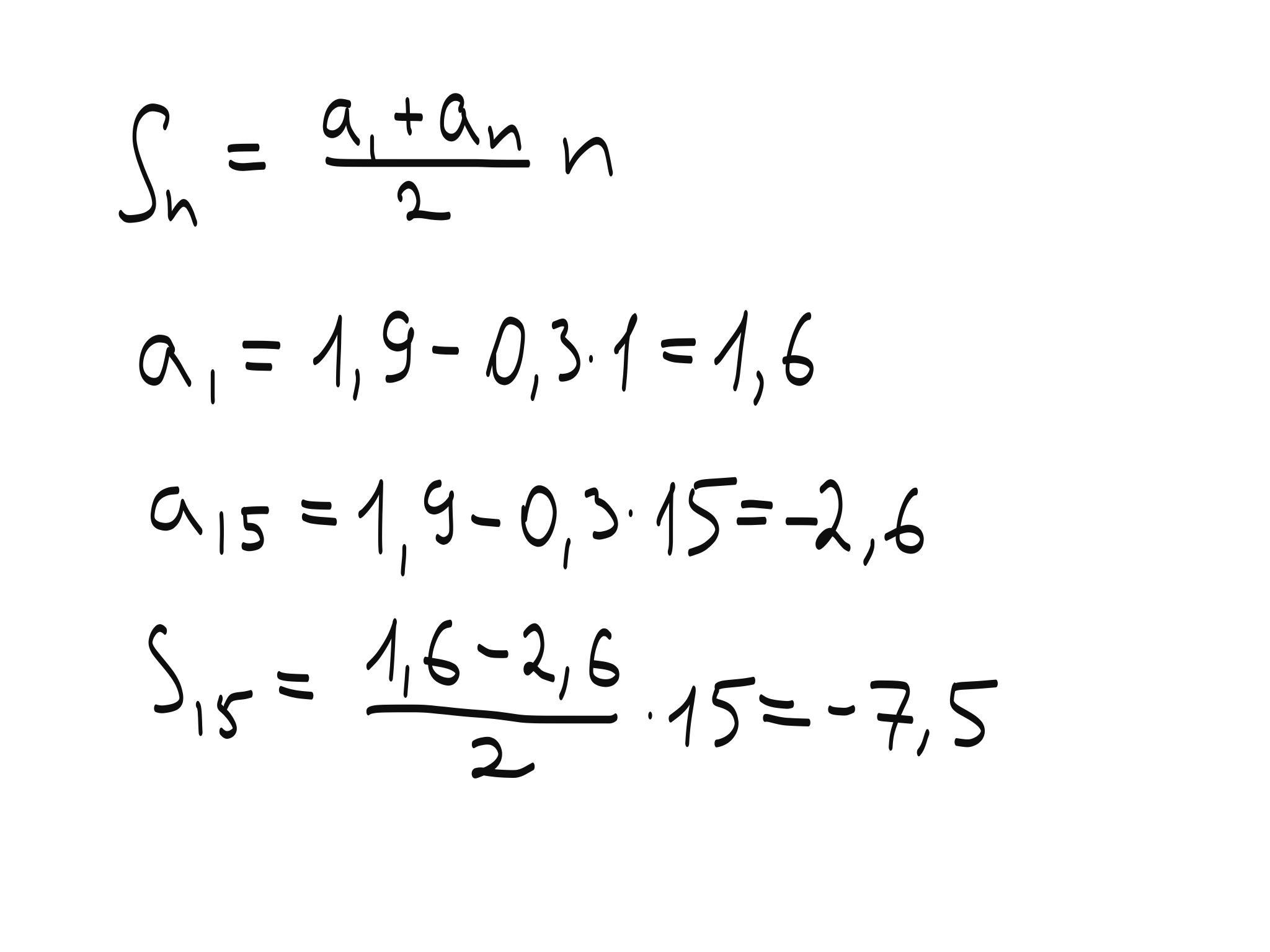
Арифметическая прогрессия задана условием an=1,9-0,3n. Найдите сумму первых 15 её членов.
Ответы
Автор ответа:
0
Ответ: -7,5
Объяснение:
Приложения:
Похожие вопросы
Предмет: Русский язык,
автор: Predataa
Предмет: Русский язык,
автор: eric29
Предмет: Русский язык,
автор: maxim105
Предмет: Биология,
автор: Лида561
Предмет: Обществознание,
автор: Марина1231111