Предмет: Алгебра,
автор: sashasasha37373773
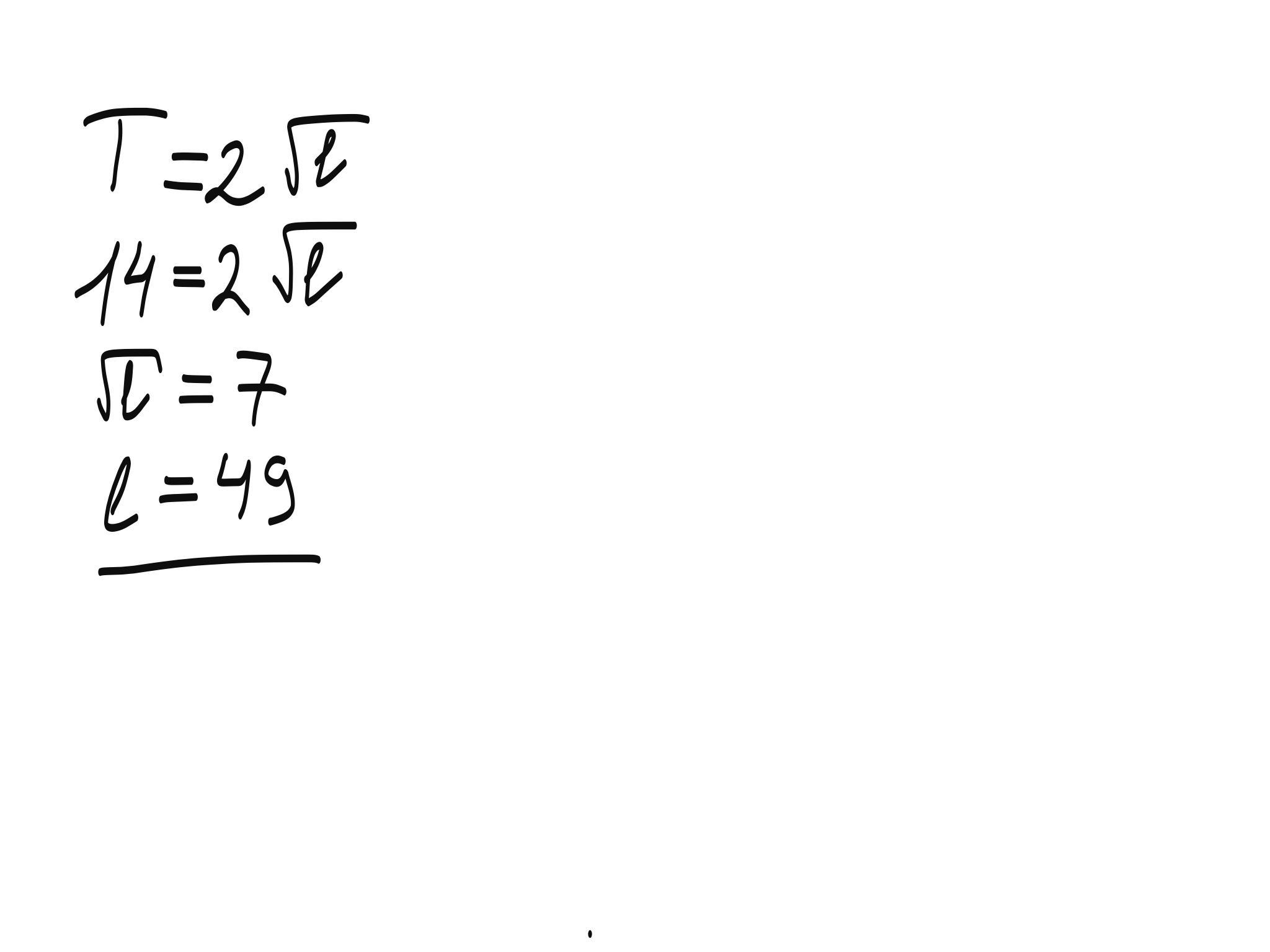
Период колебания математического маятника (в секундах) приближённо можно вычислить по формуле где l — длина нити в метрах. Пользуясь этой формулой, найдите длину нити маятника (в метрах), период колебаний которого составляет 14 секунд.
Ифигения:
А где сама формула-то?
T= 2корень из l
Формула периода колебания математического маятника не такая. Она имеет вид 2*pi*sqrt(l/g).
Приношу свои извинения, в условии есть слово "приближенно", которое я не заметил, 2√l вполне под такое описание подходит.
Ответы
Автор ответа:
0
Ответ: l=49
Объяснение:
Приложения:
Похожие вопросы
Предмет: Українська мова,
автор: 1998Stas
Предмет: Английский язык,
автор: Флинка
Предмет: Другие предметы,
автор: OksanaLav
Предмет: Математика,
автор: bichckowaolgа13
Предмет: Алгебра,
автор: Алкадиеныч