Предмет: Алгебра,
автор: 54346788v50
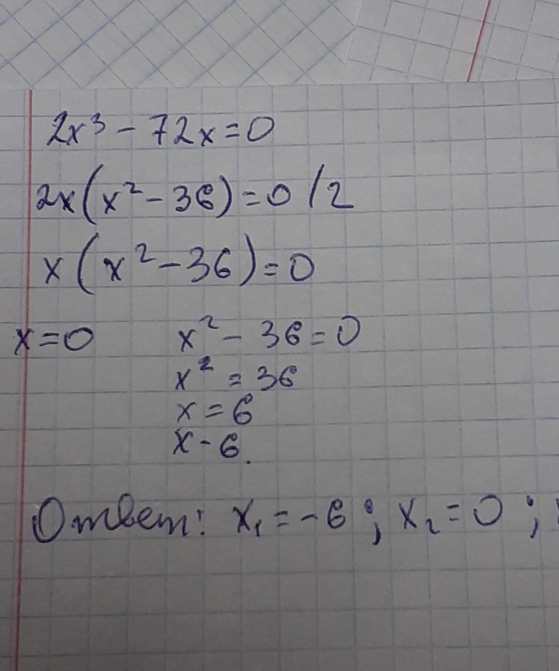
№3. Решите уравнение: 2х³ - 72х = 0.
Ответы
Автор ответа:
0
Ответ:2x в квадрате (2х в квадрате - 36)
Х(х в квадрате - 36)
Х=0
Х в квадрете - 36=0
Х1, 2=+-6
Объяснение:
Автор ответа:
1
2х³-72x=0
2x(x²-36)=0 /2
x(x²-36)=0
x=0. x²-36=0
x²=36
x=6
x= -6
Ответ: x= -6; x=0; x=6
Приложения:
Похожие вопросы
Предмет: Алгебра,
автор: sonakostuk5
Предмет: Английский язык,
автор: dyehdhkshuh10836
Предмет: Русский язык,
автор: nazerkemirbek140
Предмет: Математика,
автор: tishkina2005
Предмет: Музыка,
автор: Andreycom015674