Предмет: Алгебра, автор: sekret007mafia

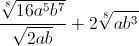
Упростите выражение, если a>0, b>0

Приложения:

Ответы

Автор ответа: NNNLLL54
0
frac{sqrt[8]{16a^5b^7}}{sqrt{2ab}}+2sqrt[8]{ab^3}=frac{sqrt[8]{2^4a^4acdot b^4b^3}}{sqrt{2ab}}+2sqrt[8]{ab^3}=frac{sqrt[8]{(2ab)^4}sqrt[8]{ab^3}}{sqrt{2ab}}+2sqrt[8]{ab^3}=\\=frac{sqrt{2ab}sqrt[8]{ab^3}}{sqrt{2ab}}+2sqrt[8]{ab^3}=sqrt[8]{ab^3}+2sqrt[8]{ab^3}=3sqrt[8]{ab^3}
Похожие вопросы
Предмет: Геометрия, автор: Ulmat
Предмет: Алгебра, автор: 8888899