Предмет: Геометрия,
автор: aleksandr26052005
Найдите наименьшую высоту треугольника со сторонами равными 5 см 6 см 7 см
Ответы
Автор ответа:
20
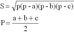
Найдем площадь треугольника по формуле Герона (прикрепила формулу картинкой)
p = (5+6+7) : 2 = 9 см
S = √ 9* (9-5)*(9-6)*(9-7) = √9*4*3*2 = √216 = 6√6 cм²
Наименьшей является высота, проведенная к большему основанию.
Теперь по формуле найдем ее длину
S = 1/2*h*a
h = S : 0,5a
h = =
см
как-то так..
Приложения:
Похожие вопросы
Предмет: Геометрия,
автор: suhininadasa71
Предмет: Геометрия,
автор: letvenenko653467
Предмет: Математика,
автор: nastyatab2010
Предмет: Математика,
автор: Аноним
Предмет: Физика,
автор: Ягудин