Предмет: Алгебра,
автор: SelestiaLudenburg
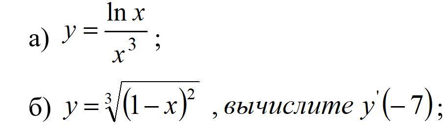
Найдите производную функции
Приложения:
Ответы
Автор ответа:
1
Ответ:
=============================
Объяснение:
Приложения:
Похожие вопросы
Предмет: Физкультура и спорт,
автор: noprostandoffno
Предмет: Қазақ тiлi,
автор: valerasoskin32
Предмет: Оʻzbek tili,
автор: muzhatazamova
Предмет: История,
автор: chillysaus
Предмет: История,
автор: Полина28111