Предмет: Математика,
автор: kima2196
РЕШИТЕ ПОЖАЛУЙСТА СРОЧНО!!
Приложения:
Ответы
Автор ответа:
1
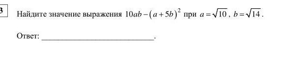
Ответ:
Пошаговое объяснение:
10ав - (а+5в)² = 10ав - а²-10ав-25в² = -а²-25в²
- (√10)²-25(√14)² = -10-25*14 = -10-375 = -385
Похожие вопросы
Предмет: Алгебра,
автор: andreivicandrej063
Предмет: Математика,
автор: anastasijamakarkina
Предмет: Математика,
автор: Аноним
Предмет: География,
автор: котёнок20043