Предмет: Математика,
автор: Leylamemmedova
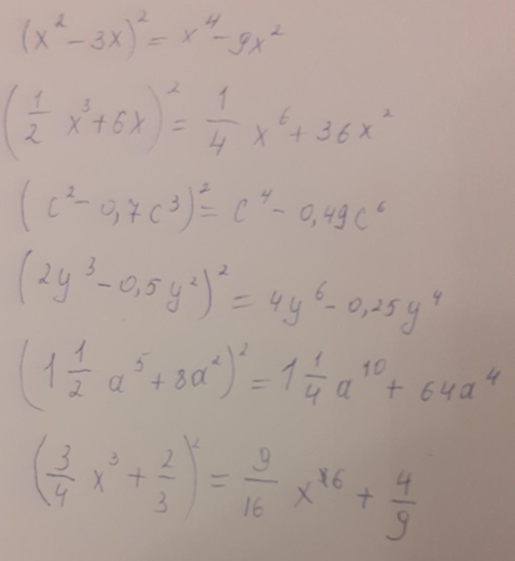
Пожалуйста помогите умаляю мне нужно срочно ❤️❤️
Приложения:
denisbogolyubos:
а какое задание? с многочленами?
Наверху
Ответы
Автор ответа:
1
вот..................
Приложения:
Похожие вопросы
Предмет: Українська мова,
автор: svetapervii
Предмет: Геометрия,
автор: a9887391
Предмет: История,
автор: luchianecaterina2001
Предмет: История,
автор: Аноним
Предмет: Алгебра,
автор: камила372