Предмет: Математика,
автор: Аноним
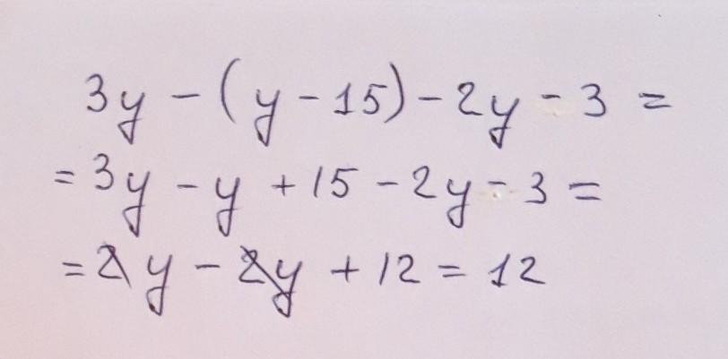
3у-(у-15)-2у-3 помигите даю сорок баллов
Ответы
Автор ответа:
0
Ответ:
12
Упростить выражение.
Приложения:
Автор ответа:
0
Ответ:
12
Пошаговое объяснение:
3у-у+15-2у-3=0+12=12
Похожие вопросы
Предмет: Геометрия,
автор: smpolina79
Предмет: Математика,
автор: Аноним
Предмет: Алгебра,
автор: vnosenko122
Предмет: Математика,
автор: юля1369