Предмет: Алгебра,
автор: Olimpiyka
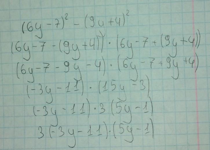
(6y-7)^2-(9y+4)^2
Разложить на множители
Ответы
Автор ответа:
5
Ответ:
Объяснение:
=(6y-7+9y+4)*(6y-7-9y-4)=(15y-3)(-3y-11)
Автор ответа:
3
Ответ:
решение прикреплено в фотографии
Приложения:
Похожие вопросы
Предмет: Қазақ тiлi,
автор: aksenaseilova94
Предмет: Математика,
автор: Driket
Предмет: Қазақ тiлi,
автор: DaniilYuferev
Предмет: Алгебра,
автор: 8921111111116213
Предмет: Литература,
автор: Alina1220