Предмет: Математика,
автор: soniamusia28
Что нужно вписать?????????
Приложения:
Ответы
Автор ответа:
0
Ответ:
1. 9
2. 5
Числитель над чертой. Знаменатель перед дробью.
Автор ответа:
0
Ответ:
Пошаговое объяснение:
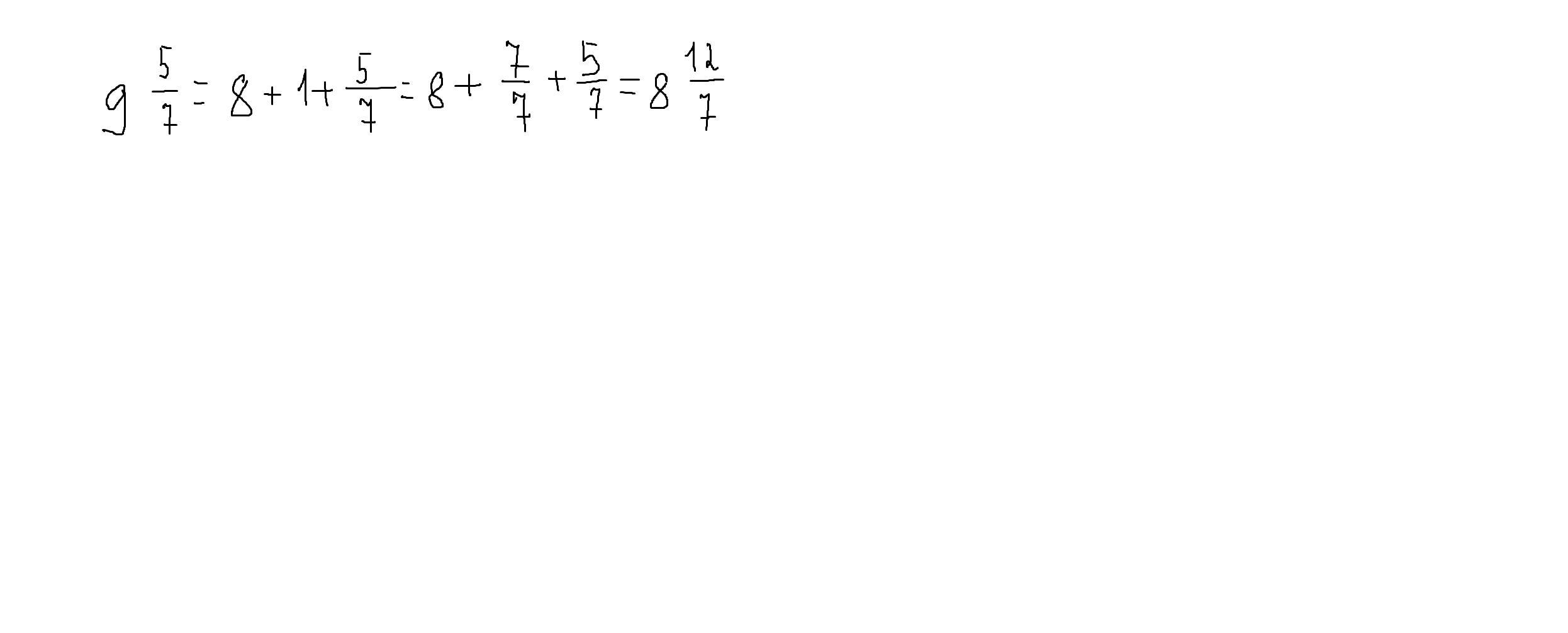
целая часть получившегося числа 8
числитель дробной части 12
Приложения:
Похожие вопросы
Предмет: Английский язык,
автор: savinakatya08082010
Предмет: Алгебра,
автор: pogulajloliza
Предмет: История,
автор: lizauporova8
Предмет: Литература,
автор: AnGeL02131
Предмет: Математика,
автор: koirol