Предмет: Алгебра,
автор: miss1502
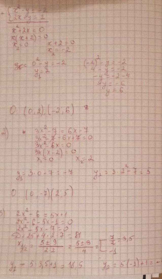
Решение систем уравнений второй степени. Распишите,пожалуйста, как нужно сделать
Приложения:
Ответы
Автор ответа:
0
Как то так, не знаю как ещё фото поместить
Приложения:
Похожие вопросы
Предмет: Геометрия,
автор: ilovemrsh
Предмет: Математика,
автор: curikaliza82
Предмет: Другие предметы,
автор: sofiasarahman25
Предмет: Алгебра,
автор: Аноним