Предмет: Алгебра,
автор: nataplotru
Помогите решить уравнения №5
Приложения:
Ответы
Автор ответа:
1
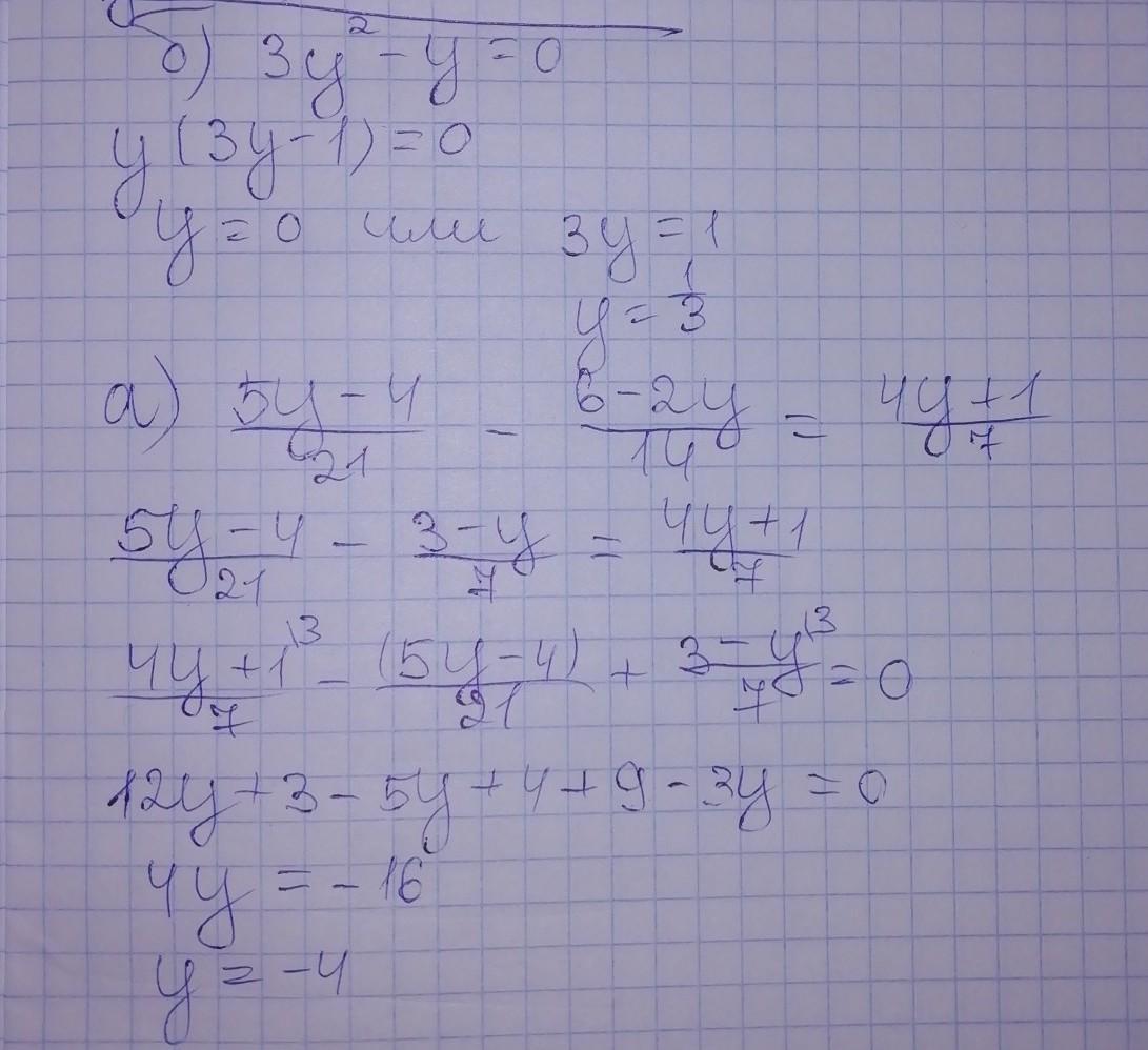
Объяснение:
решение на фото, в 1 уравнении находим наименьший общий знаменатель он равен 42, ищем дополнительные множители, все перемножаем, приводим подобные и решаем. А во втором выносим у за скобки, и находим ответы
Приложения:
Автор ответа:
1
Ответ:
.............................
Приложения:
Похожие вопросы
Предмет: Алгебра,
автор: nirvix
Предмет: Русский язык,
автор: nesta5985
Предмет: Алгебра,
автор: iravolodko969
Предмет: Алгебра,
автор: Hihikz