Предмет: Алгебра,
автор: vadimfilippov02
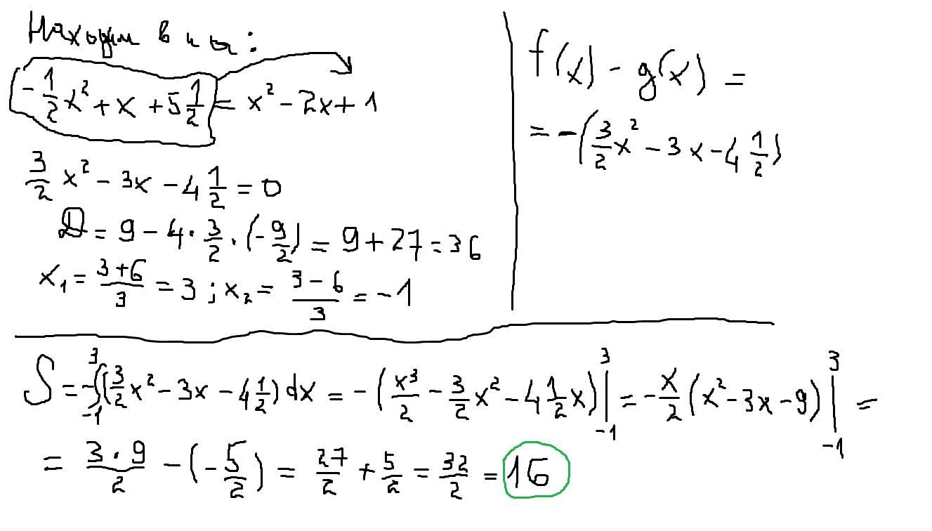
Вычислите площадь фигуры, ограниченной линиями
y=-1/2^2+x+5 1/2 и y=x^2-2x+1
Приложения:
Ответы
Автор ответа:
2
Y=1/2x²-x+1/2,y=-x²+2x+5
Найдем пределы интегрирования
0,5x²-x+0,5=-x²+2x+5
1,5x²-3x-4,5=0
x²-2x-3=0
x1+x2=2 U x1*x2=-3
x1=-1 U x2=3
Фигура ограничена сверху параболой у=-х²+2х+5 и снизу параболой у=0,5х²-х+0,5
Автор ответа:
2
Ответ: 16.
Объяснение: Площадь фигуры - это определенный интеграл разности 2 функций (f(x)-g(x)). Я схематично изобразил графики функций, чтобы было все наиболее понятно. См. вложения.
Приложения:
Похожие вопросы
Предмет: Алгебра,
автор: mariakiricuk88
Предмет: География,
автор: vanuki0
Предмет: Алгебра,
автор: skatulaludmila7
Предмет: История,
автор: kaktus38
Предмет: Математика,
автор: 24456789091