Предмет: Математика,
автор: edydea
Решите показательное уравнение
Приложения:
Ответы
Автор ответа:
0
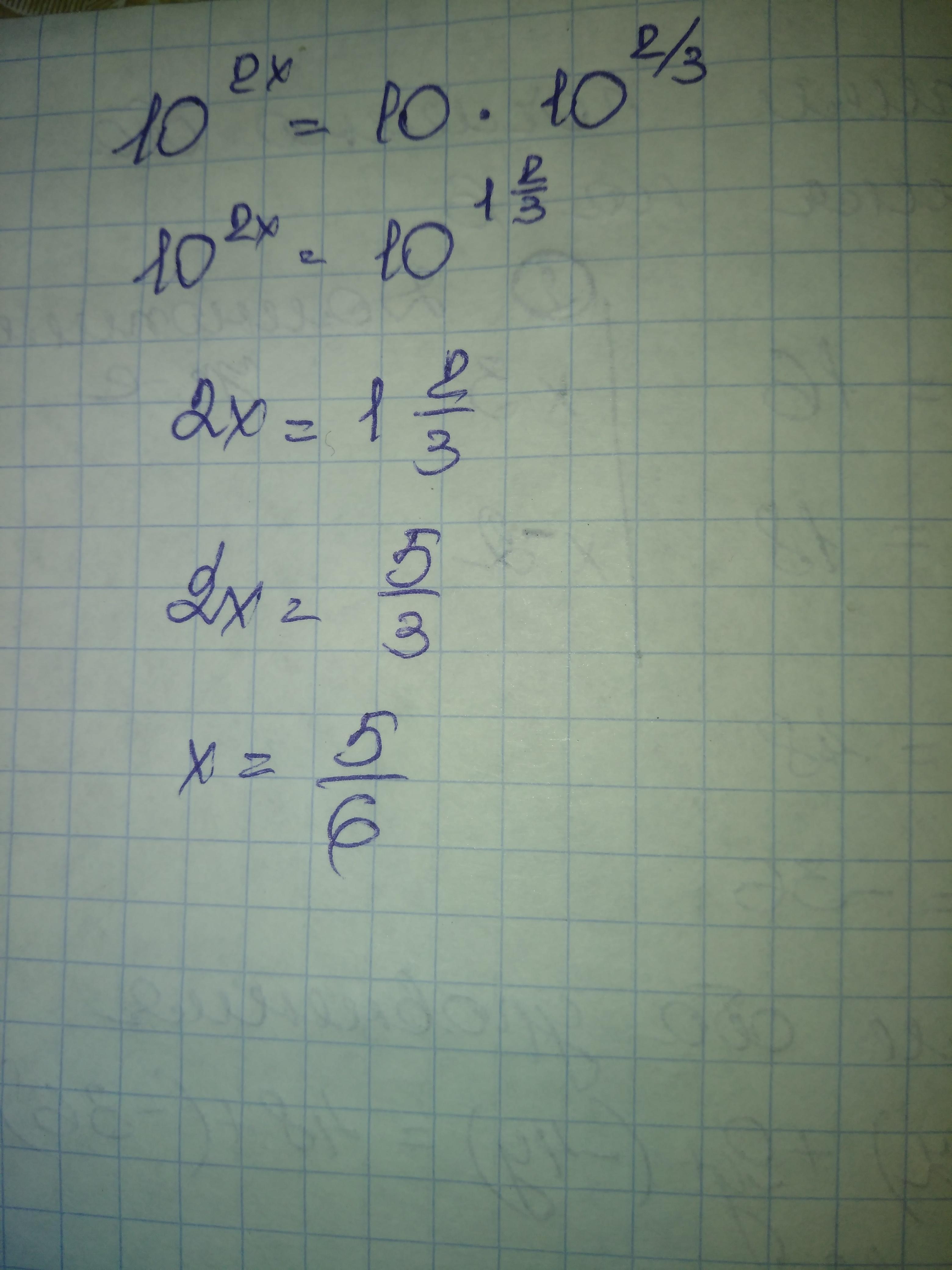
Смотри...........................
Приложения:
Похожие вопросы
Предмет: Русский язык,
автор: SekretInformation
Предмет: Алгебра,
автор: lkek38032
Предмет: Алгебра,
автор: zitinskalilia
Предмет: Математика,
автор: Василёк51
Предмет: Биология,
автор: ангелина12312