Предмет: Алгебра,
автор: Karinalepsokova
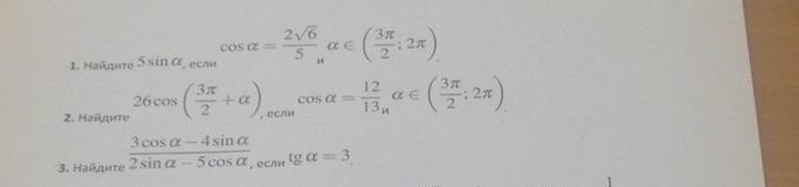
Задания 1-3 пожалуйста
Приложения:
Ответы
Автор ответа:
0
Решение во вложении.
Приложения:
Похожие вопросы
Предмет: Математика,
автор: Tyanka1087
Предмет: Литература,
автор: 3339box
Предмет: География,
автор: 0506774039
Предмет: История,
автор: устмил