Предмет: Математика,
автор: bonwin
Помогите пожалуйста.
Приложения:
Ответы
Автор ответа:
0
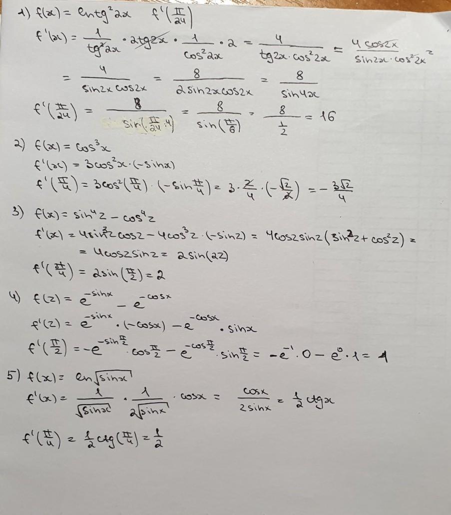
Ответ:
решение на фотографии
Приложения:
Похожие вопросы
Предмет: Физика,
автор: mellupfree
Предмет: Математика,
автор: tahminaabdullaeva065
Предмет: Английский язык,
автор: sancozaza1717
Предмет: Литература,
автор: averinaarina
Предмет: Математика,
автор: asinlec