Предмет: Математика,
автор: sdima20
Максимальный балл
Комплексные числа
Приложения:
Ответы
Автор ответа:
1
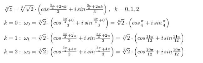
Ответ: во вложении Пошаговое объяснение:
Приложения:
Автор ответа:
1
...............................................................................................
Приложения:
Похожие вопросы
Предмет: Қазақ тiлi,
автор: Аноним
Предмет: Математика,
автор: alisa09dav
Предмет: Английский язык,
автор: Аноним
Предмет: Математика,
автор: умняша1234567890
Предмет: Геометрия,
автор: norrieaplin13