Предмет: Алгебра,
автор: danil5792ww
Прошу помогите, надо решить все что с цифрами!
Приложения:
Ответы
Автор ответа:
1
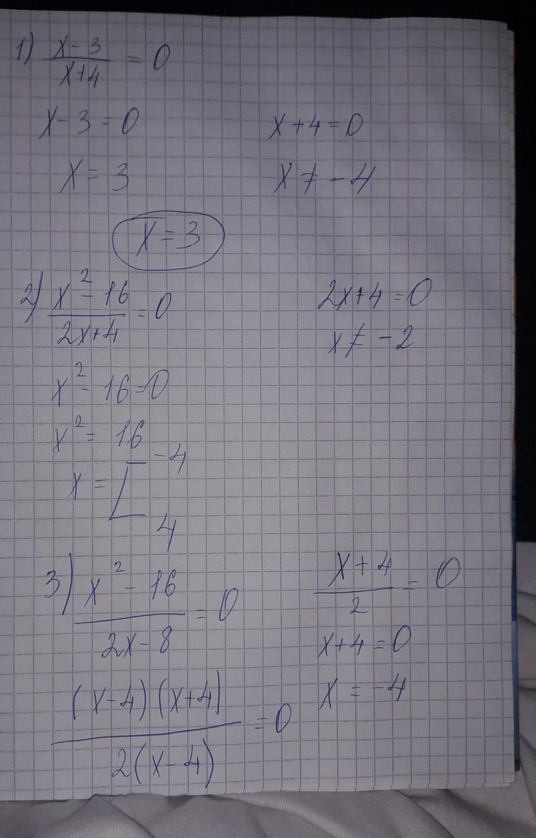
Ответ:
остальные три решить не смогла
Приложения:
danil5792ww:
И на этом спасибо.
Похожие вопросы
Предмет: История,
автор: olgalox
Предмет: Алгебра,
автор: aqwiless
Предмет: География,
автор: alinaplohova65
Предмет: Математика,
автор: kostyazagaynov
Предмет: Математика,
автор: ИНТЕРНЕТ4G