Предмет: Геометрия,
автор: YaruchykAlina
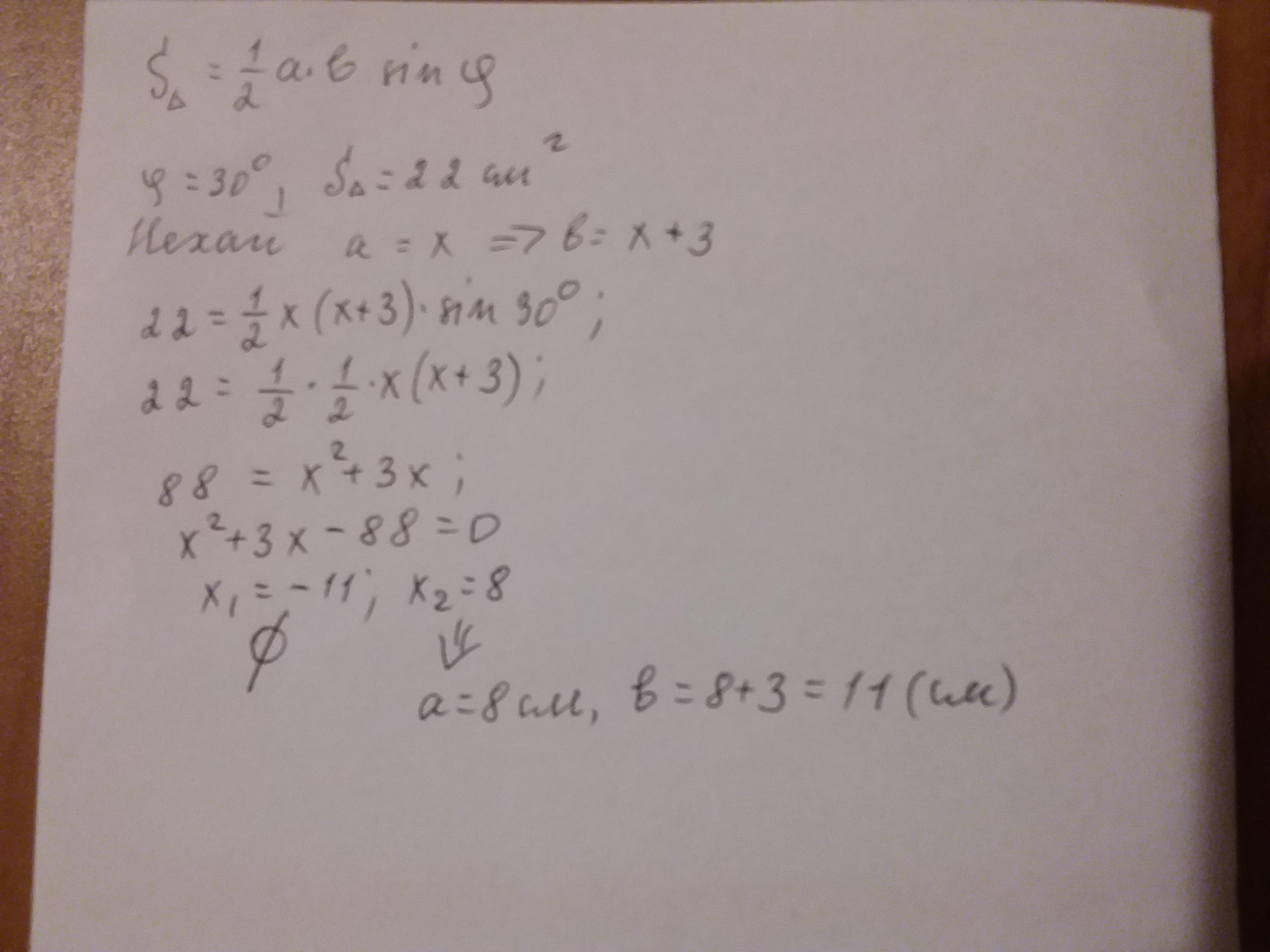
Вправа 544 допоможіть зробити будь ласка вже потрібно
Приложения:
Ответы
Автор ответа:
0
...........................
Приложения:
Похожие вопросы
Предмет: Физика,
автор: spasibavam
Предмет: Физика,
автор: tainstveniy4
Предмет: Математика,
автор: vika89538
Предмет: Математика,
автор: AnastasiBlack
Предмет: Математика,
автор: iktus63