Предмет: Алгебра,
автор: Lylka2012
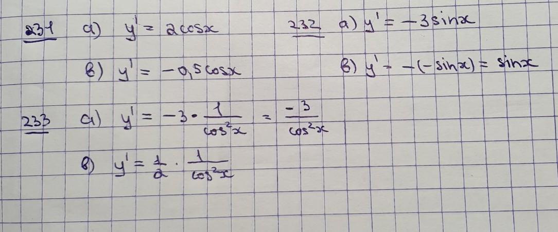
Найти производную каждой из функций. Только под А и В (на галочки не смотрите). С 231 по 233
Приложения:
Ответы
Автор ответа:
3
Ответ:
решение на фотографии
Приложения:
Похожие вопросы
Предмет: Геометрия,
автор: hdjdnkwkwka
Предмет: Алгебра,
автор: wqrxss
Предмет: Алгебра,
автор: anna8293
Предмет: Математика,
автор: Аноним