Предмет: Алгебра,
автор: lolkaw
решите пожалуйста 3 скрина
Приложения:
Ответы
Автор ответа:
0
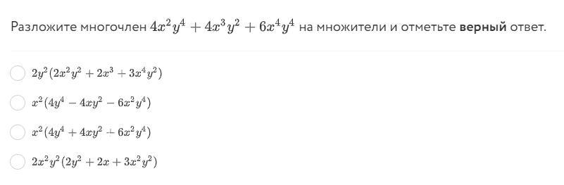
Ответ:1 задание - 4 ответ,
2 задание - 2 ответ,
3 задание - 4 ответ, значение -30,08
Объяснение:
Похожие вопросы
Предмет: Математика,
автор: polubok1703
Предмет: Математика,
автор: konisovaarajlym
Предмет: Алгебра,
автор: nastaoficial
Предмет: Литература,
автор: FEEXGAMING
Предмет: Математика,
автор: BadQueen