Предмет: Алгебра,
автор: IvanLovt
Дам 100 кто решит полностью!!!
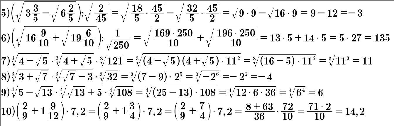
5-10
Приложения:
Ответы
Автор ответа:
0
очень долго делала,удачи
Приложения:
IvanLovt:
ЕМА ТЫ МОЗГ,КРАСАВА
если,че не понятно,пиши(просто быстро писала)
ДА не все четко
Автор ответа:
1
Ответ:
Объяснение:
-------------------------------------
Приложения:
Похожие вопросы
Предмет: Литература,
автор: zasia3704
Предмет: Математика,
автор: tasadenis8
Предмет: Математика,
автор: veronikapanchesna199
Предмет: Литература,
автор: Макс5832
Предмет: Математика,
автор: лилия842