Предмет: Математика,
автор: nuzdink9591
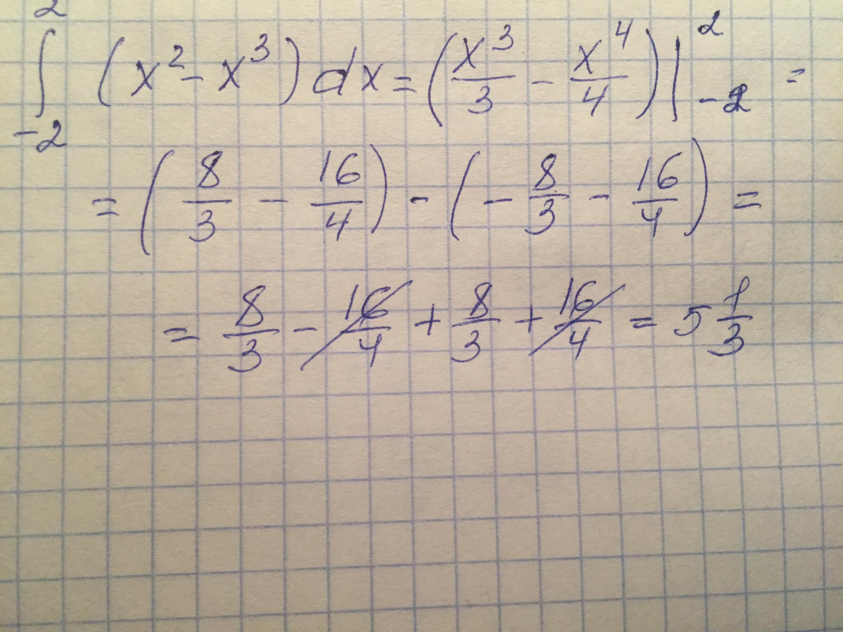
Решить формулой Ньютона-Лейбница
Приложения:
Ответы
Автор ответа:
2
Ответ:
=============================
Пошаговое объяснение:
Приложения:
Похожие вопросы
Предмет: Другие предметы,
автор: ibraevaayaru11
Предмет: Физика,
автор: TarasikKarina
Предмет: Алгебра,
автор: bangchanbuns
Предмет: Физика,
автор: efadeeva