Предмет: Математика,
автор: azshelont
Решите 2,3,4 (пятое не надо) даю 60 баллов
Приложения:
Ответы
Автор ответа:
1
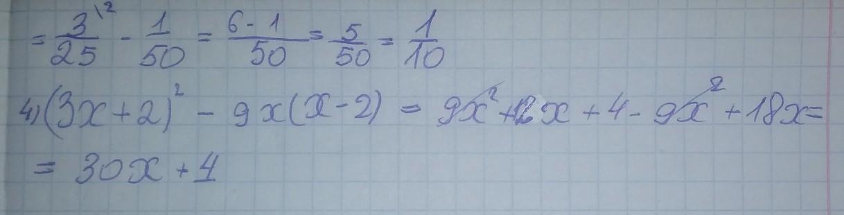
Ответ:решение на фото
Пошаговое объяснение:
Приложения:
Автор ответа:
0
Все решения на фотографиях;)
Приложения:
Похожие вопросы
Предмет: Математика,
автор: zenaglazunova28
Предмет: Математика,
автор: bbhdqw86x6
Предмет: Английский язык,
автор: olivaivanka
Предмет: Литература,
автор: 159357009
Предмет: Математика,
автор: Аноним