Предмет: Алгебра,
автор: clever321
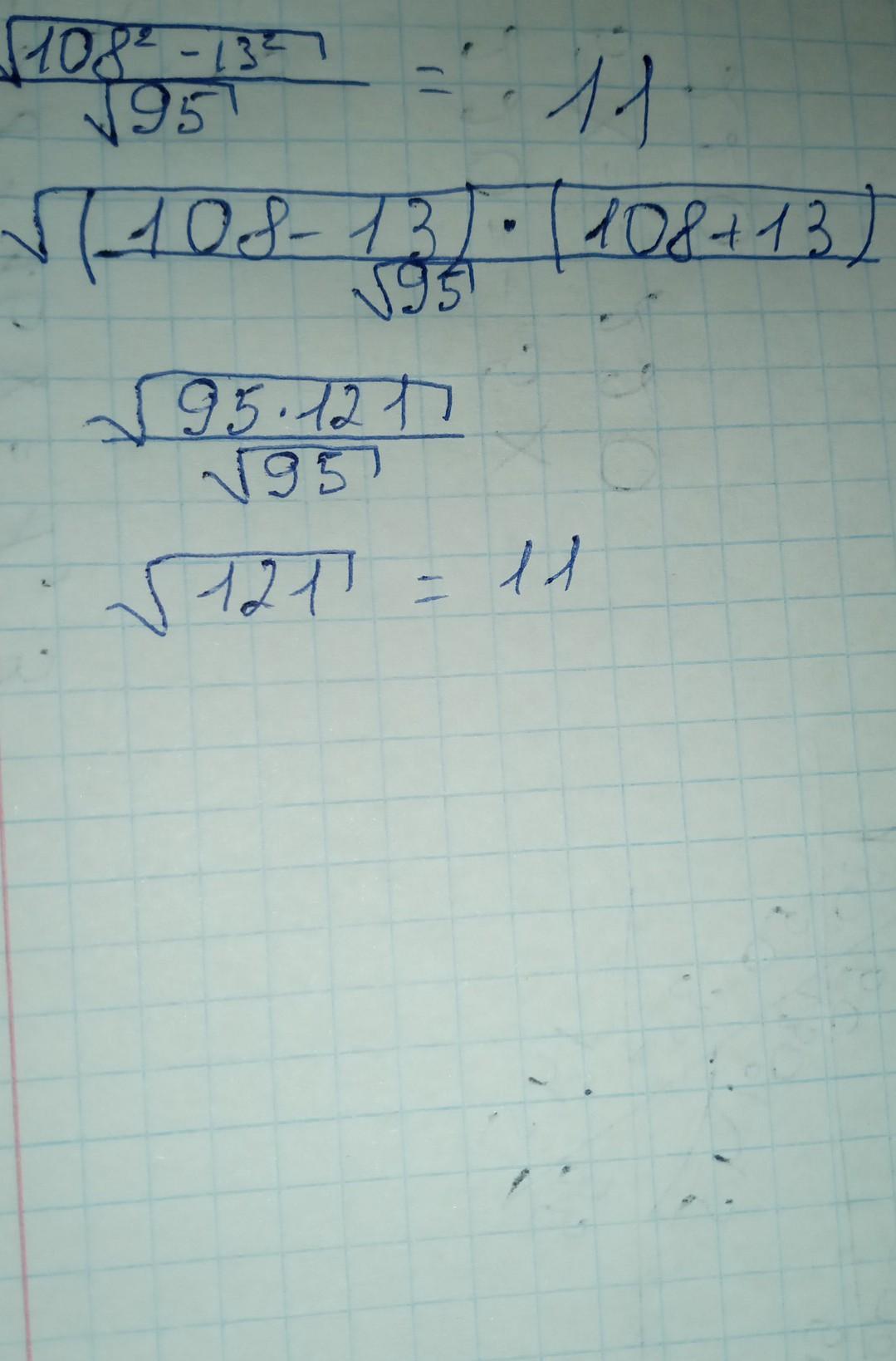
Найдите значение выражения. Не просто ответ, а с решением, пожалуйста
Приложения:
Ответы
Автор ответа:
0
Объяснение:
.... .............................
Приложения:
clever321:
Спасибо)
Автор ответа:
0
Ответ:
Ответ 11...............
Приложения:
Спасибо)
да пожалуйста)
Похожие вопросы
Предмет: Русский язык,
автор: gxgkgktixyixgldhlhl
Предмет: Литература,
автор: dimaprostakichin
Предмет: Химия,
автор: margaryta5
Предмет: Литература,
автор: мама743