Предмет: Алгебра,
автор: daniilkot2017lis
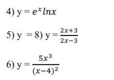
Найти производные следующих функций (20 баллов, с полным решением, а не тупо ответами)
Приложения:
Ответы
Автор ответа:
0
Ответ:
Объяснение:
Решение на фото.
Приложения:
Похожие вопросы
Предмет: Математика,
автор: alimuradovaajlin1
Предмет: Химия,
автор: Caroline1Klerchanko
Предмет: ОБЖ,
автор: Vanessakom7109
Предмет: Литература,
автор: SERYK11
Предмет: Математика,
автор: мозг168