Предмет: Алгебра,
автор: danilbareev97
Помогите решить, буду благодарен
Приложения:
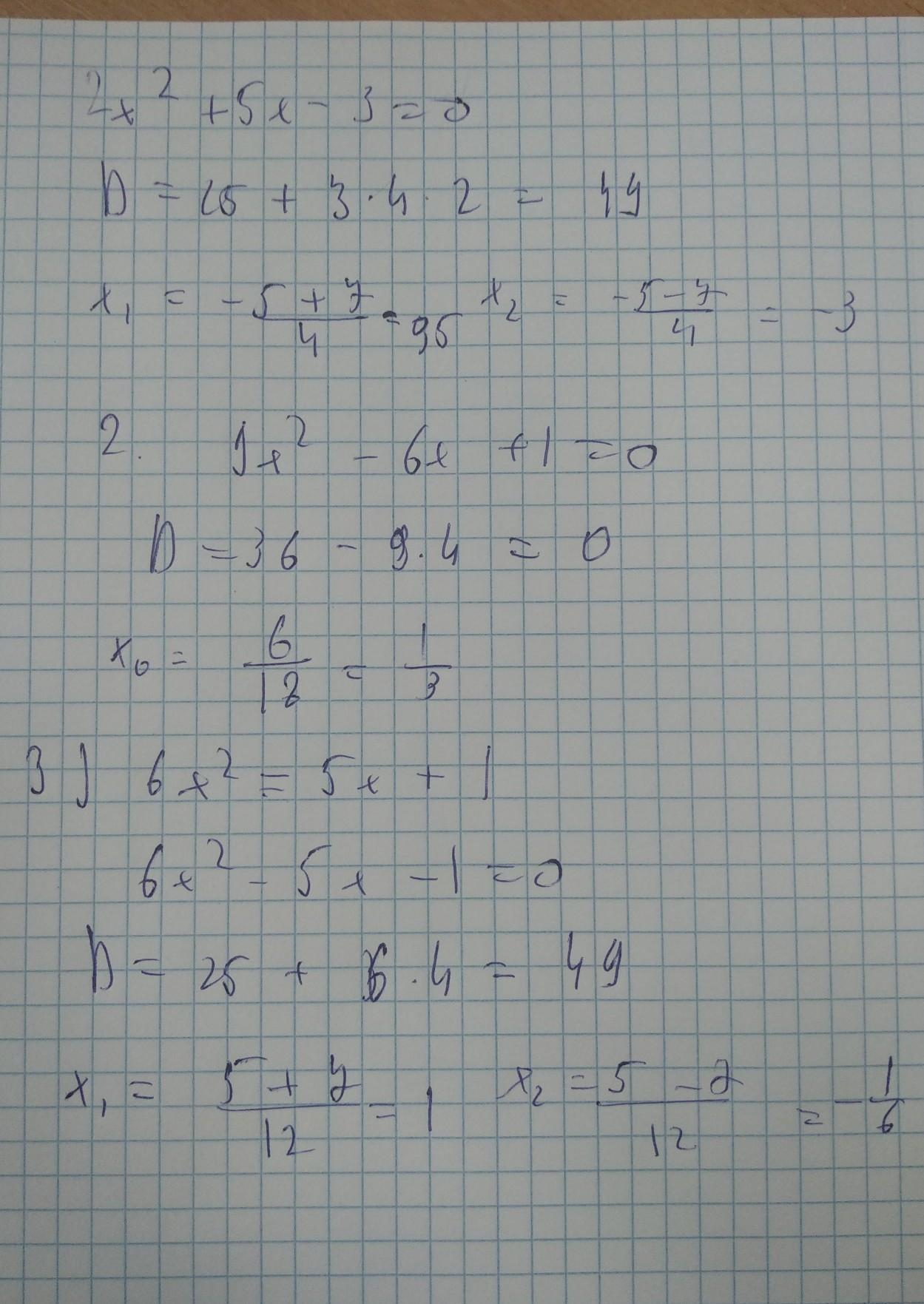
Ответы
Автор ответа:
1
Объяснение:
1) X= 0,5 X = -3
2) X=1/3
3) X = -1/6
Приложения:
Похожие вопросы
Предмет: Физика,
автор: kutmanjorobekov0606
Предмет: Физика,
автор: amiraplay38
Предмет: Қазақ тiлi,
автор: polarisfox2010
Предмет: Литература,
автор: Аноним
Предмет: Обществознание,
автор: gnail15