Предмет: Математика,
автор: IvanShabaldin
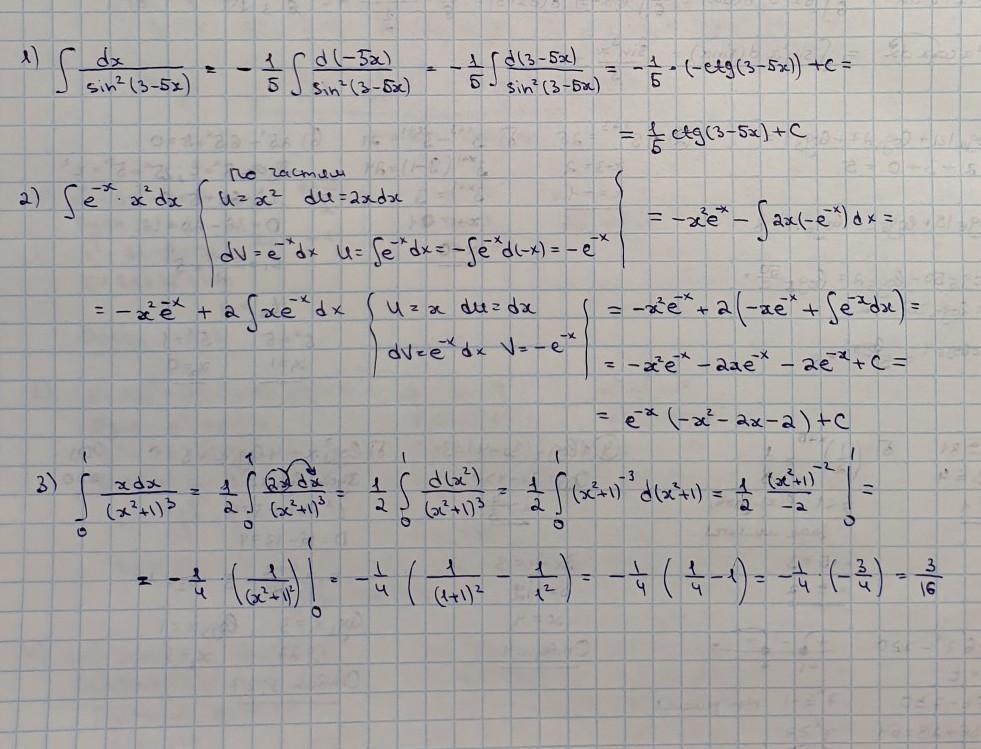
Помогите, пожалуйста, найти интегралы
Приложения:
Ответы
Автор ответа:
0
Ответ:
решение на фотографии
Приложения:
Похожие вопросы
Предмет: Литература,
автор: altynajolzabek
Предмет: Геометрия,
автор: tatanagontar18
Предмет: Биология,
автор: kvkv6696
Предмет: Геометрия,
автор: dini20
Предмет: Геометрия,
автор: koik1Vova