Предмет: Алгебра, автор: Facelessmessenger19

Прошу, помогите мне с этим кошмаром. Я совершенно не разбираюсь в алгебре.

Приложения:

Ответы

Автор ответа: terikovramazan
1

Ответ: приложен

Объяснение:

Приложения:

terikovramazan: Ответ правильный?
NNNLLL54: Лишний множитель 2 написали при нахождении С...
terikovramazan: В каком месте? 2 получилось при сокращении
terikovramazan: Заметил
terikovramazan: успел исправить
Автор ответа: NNNLLL54
0

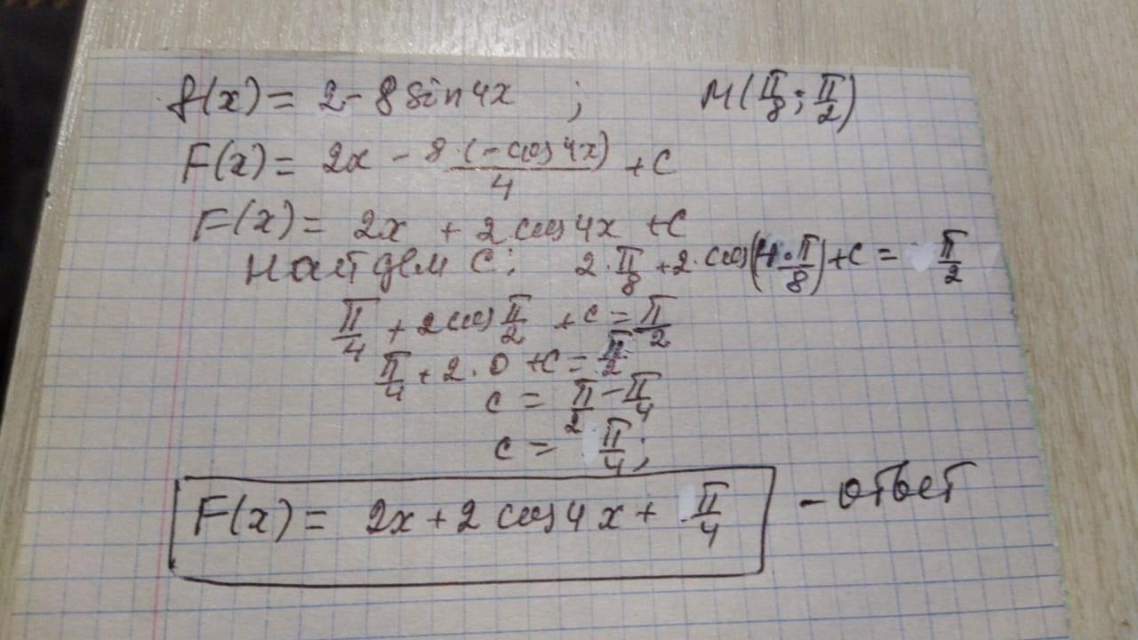
f(x)=2-8sin4x\\\\F(x)=\int (2-8sin4x)\, dx=2x-8\cdot (-\frac{1}{4}cos4x)+C=2x+2\, cos4x+C\\\\M(\frac{\pi}{8}\, ;\, \frac{\pi}{2}):\; \frac{\pi}{2}=2\cdot \frac{\pi}{8}+2\, cos\frac{\pi}{2}+C\; ,\; \; \frac{\pi}{2}=\frac{\pi}{4}+C\; ,\; \; C=\frac{\pi}{4}\\\\F(x)\Big |_{M}=2x+2\, cos4x+\frac{\pi}{4}

Похожие вопросы
Предмет: Английский язык, автор: dialimova1
Предмет: Математика, автор: Аноним
Предмет: Математика, автор: Аноним