Предмет: Алгебра,
автор: psyduck2
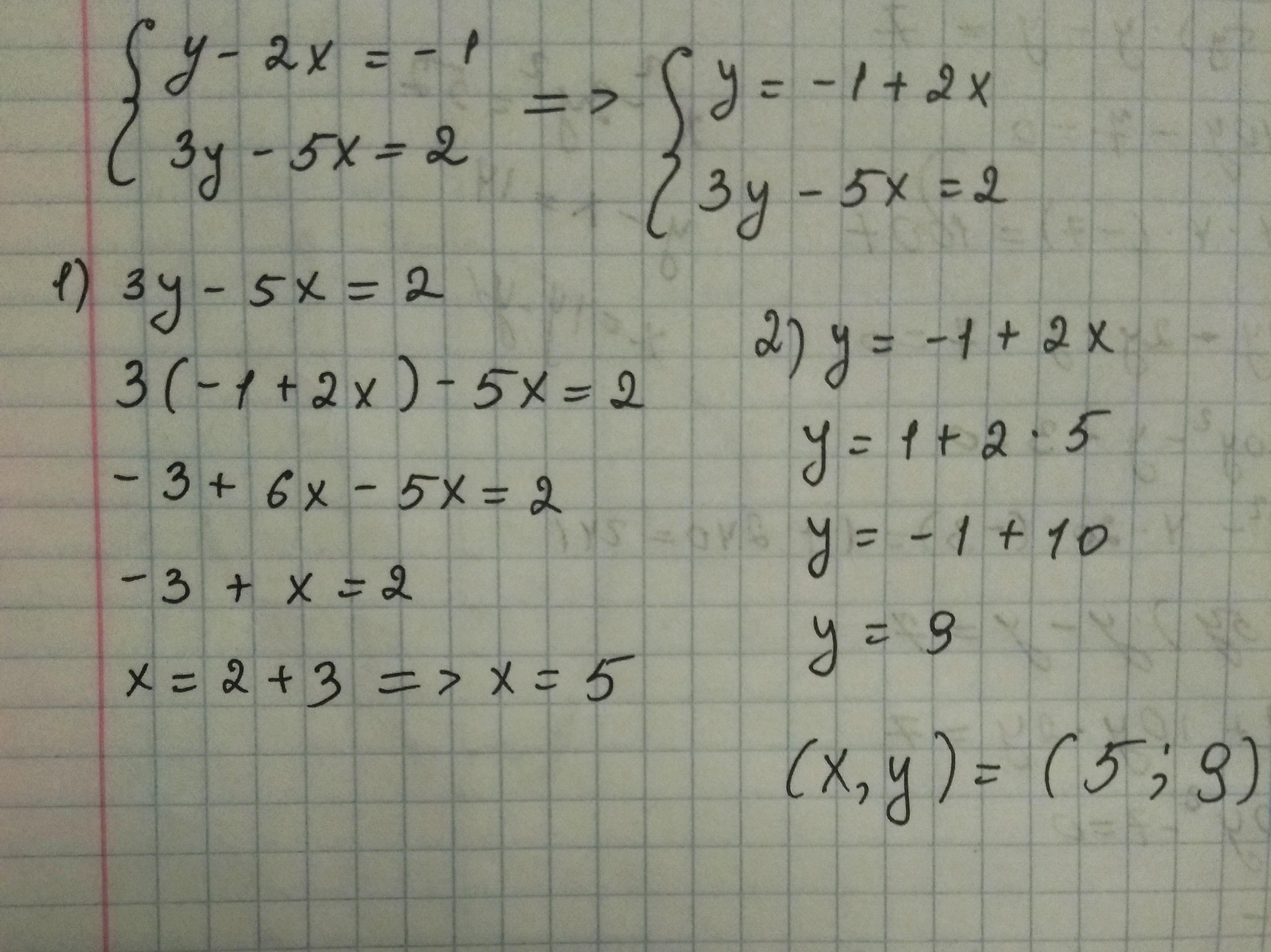
Решить систему уравнений
Приложения:
Ответы
Автор ответа:
2
Ответ:(x,y)=(5;9)
Система решена методом подстановки
Приложения:
Похожие вопросы
Предмет: История,
автор: Danon49000
Предмет: Русский язык,
автор: saltanattuleshova198
Предмет: Литература,
автор: kreval
Предмет: Математика,
автор: 6669929808